Evans–Saksena reduction
The Saksena–Evans reduction is a diastereoselective reduction of β-hydroxy ketones to the corresponding anti-dialcohols, employing the reagent tetramethylammonium triacetoxyborohydride (Me4NHB(OAc)3). The reaction was first described by Anil K. Saksena in 1983[1] and further developed by David A. Evans in 1987.[2]

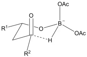
The reaction is thought to proceed through the 6-membered ring transition state shown below. The intramolecular hydride delivery from the boron reducing agent forces the reduction to proceed from the opposite face of the chelating β-alcohol, thus determining the diastereoselectivity.

This can be contrasted with the Narasaka–Prasad reduction which similarly employs a boron chelating agent but undergoes an intermolecular hydride delivery, favouring the corresponding syn-diol product.
The Evans–Saksena reduction has since been used in the synthesis of several products, particularly the bryostatins.[3][4]
See also
References
- Saksena, Anil; Mangiaracina, Pietro (1983). "Recent studies on veratrum alkaloids: a new reaction of sodium triacetoxyborohydride [NaBH(OAc)3]". Tetrahedron Letters. 24 (3): 273–276. doi:10.1016/S0040-4039(00)81383-0.
- Evans, David; Chapman, K.; Carreira, E. (1988). "Directed reduction of β-hydroxy ketones employing tetramethylammonium triacetoxyborohydride". Journal of the American Chemical Society. 110 (11): 3560–3578. doi:10.1021/ja00219a035.
- Masamune, Satoru (1988). "Asymmetric synthesis and its applications: Towards the synthesis of bryostatin 1" (PDF). Pure Appl. Chem. 60 (11): 1587–1596. doi:10.1351/pac198860111587. S2CID 95655097. Retrieved 30 December 2012.
- Nakagawa-Goto, Kyoko; Crimmins, Michael (2011). "Synthetic Approaches to the Bottom Half Fragment for Bryostatin 11". Synlett. 2011 (11): 1555–1558. doi:10.1055/s-0030-1260784.