Glucosinolate
Glucosinolates are natural components of many pungent plants such as mustard, cabbage, and horseradish. The pungency of those plants is due to mustard oils produced from glucosinolates when the plant material is chewed, cut, or otherwise damaged. These natural chemicals most likely contribute to plant defence against pests and diseases, and impart a characteristic bitter flavor property to cruciferous vegetables.[1]

Plants with glucosinolates
Glucosinolates occur as secondary metabolites of almost all plants of the order Brassicales. Ordered in the Brassicales are for example the economically important family Brassicaceae as well as Capparaceae and Caricaceae. Outside of the Brassicales, the genera Drypetes[2] and Putranjiva in the family Putranjivaceae, are the only other known occurrence of glucosinolates. Glucosinolates occur in various edible plants such as cabbage (white cabbage, Chinese cabbage, broccoli), Brussels sprouts, watercress, horseradish, capers, and radishes where the breakdown products often contribute a significant part of the distinctive taste. The glucosinolates are also found in seeds of these plants.[1]
Chemistry
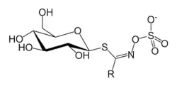
Glucosinolates constitute a natural class of organic compounds that contain sulfur and nitrogen and are derived from glucose and an amino acid. They are water-soluble anions and belong to the glucosides. Every glucosinolate contains a central carbon atom, which is bound via a sulfur atom to the thioglucose group and via a nitrogen atom to a sulfate group (making a sulfated aldoxime). In addition, the central carbon is bound to a side group; different glucosinolates have different side groups, and it is variation in the side group that is responsible for the variation in the biological activities of these plant compounds. The essence of glucosinolate chemistry is their ability to convert into an isothiocyanate (a "mustard oil") upon hydrolysis of the thioglucoside bond by the enzyme myrosinase.[3]
The semisystematic naming of glucosinolates consists of the chemical name of the aforementioned side group followed by "(-)glucosinolate". The spelling of a glucosinolate name as one word or two (e.g. allylglucosinolate versus allyl glucosinolate) has the same meaning, and both spellings are in use. But isothiocyanates must be spelled as two words.[4]
The following are some glucosinolates and their isothiocyanate products:[5]
- Allylglucosinolate (sinigrin) is the precursor of allyl isothiocyanate
- Benzylglucosinolate (Glucotropaeolin) is the precursor of benzyl isothiocyanate
- Phenethylglucosinolate (Gluconasturtiin) is the precursor of phenethyl isothiocyanate
- (R)-4-(methylsulfinyl)butylglucosinolate (Glucoraphanin) is the precursor of (R)-4-(methylsulfinyl)butyl isothiocyanate (sulforaphane)
- (R)-2-hydroxybut-3-enylglucosinolate (progoitrin) is probably the precursor of (S)-2-hydroxybut-3-enyl isothiocyanate, which is expected to be unstable and immediately cyclize to form (S)-5-vinyloxazolidine-2-thione (goitrin)
Biochemistry
Natural diversity from a few amino acids
About 132 different glucosinolates are known to occur naturally in plants. They are synthesized from certain amino acids: So-called aliphatic glucosinolates derived from mainly methionine, but also alanine, leucine, isoleucine, or valine. (Most glucosinolates are actually derived from chain-elongated homologues of these amino acids, e.g. glucoraphanin is derived from dihomomethionine, which is methionine chain-elongated twice). Aromatic glucosinolates include indolic glucosinolates, such as glucobrassicin, derived from tryptophan and others from phenylalanine, its chain-elongated homologue homophenylalanine, and sinalbin derived from tyrosine.[6]
Enzymatic activation
The plants contain the enzyme myrosinase, which, in the presence of water, cleaves off the glucose group from a glucosinolate.[7] The remaining molecule then quickly converts to an isothiocyanate, a nitrile, or a thiocyanate; these are the active substances that serve as defense for the plant. Glucosinolates are also called mustard oil glycosides. The standard product of the reaction is the isothiocyanate (mustard oil); the other two products mainly occur in the presence of specialised plant proteins that alter the outcome of the reaction.[8]

In the chemical reaction illustrated above, the red curved arrows in the left side of figure are simplified compared to reality, as the role of the enzyme myrosinase is not shown. However, the mechanism shown is fundamentally in accordance with the enzyme-catalyzed reaction.
In contrast, the reaction illustrated by red curved arrows at the right side of the figure, depicting the rearrangement of atoms resulting in the isothiocyanate, is expected to be non-enzymatic. This type of rearrangement can be named a Lossen-rearrangement, or a Lossen-like rearrangement, since this name was first used for the analogous reaction leading to an organic isocyanate (R-N=C=O).
To prevent damage to the plant itself, the myrosinase and glucosinolates are stored in separate compartments of the cell or in different cells in the tissue, and come together only or mainly under conditions of physical injury.
Biological effects
Humans and other mammals
Toxicity
The use of glucosinolate-containing crops as primary food source for animals can have negative effects if the concentration of glucosinolate is higher than what is acceptable for the animal in question, because some glucosinolates have been shown to have toxic effects (mainly as goitrogens and anti-thyroid agents) in both humans and animals at high doses.[9] However, tolerance level to glucosinolates varies even within the same genus (e.g. Acomys cahirinus and Acomys russatus).[10]
Taste and eating behavior
The glucosinolate sinigrin, among others, was shown to be responsible for the bitterness of cooked cauliflower and Brussels sprouts.[1][11] Glucosinolates may alter animal eating behavior.[12]
Research
Glucosinolates are studied for their potential to affect plant breeding, plant physiology, plant genetics, and food applications. As of 2014, preliminary research was underway to assess possible protective effects of glucosinolates against cancer and dementia.[13][14]
Insects
Glucosinolates and their products have a negative effect on many insects, resulting from a combination of deterrence and toxicity. In an attempt to apply this principle in an agronomic context, some glucosinolate-derived products can serve as antifeedants, i.e., natural pesticides.[15]
In contrast, the diamondback moth, a pest of cruciferous plants, may recognize the presence of glucosinolates, allowing it to identify the proper host plant.[16] Indeed, a characteristic, specialised insect fauna is found on glucosinolate-containing plants, including butterflies, such as large white, small white, and orange tip, but also certain aphids, moths, such as the southern armyworm, sawflies, and flea beetles. For instance, the large white butterfly deposits its eggs on these glucosinolate-containing plants, and the larvae survive even with high levels of glucosinolates and eat plant material containing glucosinolates. The whites and orange tips all possess the so-called nitrile specifier protein, which diverts glucosinolate hydrolysis toward nitriles rather than reactive isothiocyanates.[17] In contrast, the diamondback moth possesses a completely different protein, glucosinolate sulfatase, which desulfates glucosinolates, thereby making them unfit for degradation to toxic products by myrosinase.[18]
Other kinds of insects (specialised sawflies and aphids) sequester glucosinolates.[19] In specialised aphids, but not in sawflies, a distinct animal myrosinase is found in muscle tissue, leading to degradation of sequestered glucosinolates upon aphid tissue destruction.[20] This diverse panel of biochemical solutions to the same plant chemical plays a key role in the evolution of plant-insect relationships.[21]
References
- Ishida, M; Hara, M; Fukino, N; Kakizaki, T; Morimitsu, Y (2014). "Glucosinolate metabolism, functionality and breeding for the improvement of Brassicaceae vegetables". Breeding Science. 64 (1): 48–59. doi:10.1270/jsbbs.64.48. PMC 4031110. PMID 24987290.
- James E. Rodman; Kenneth G. Karol; Robert A. Price; Kenneth J. Sytsma (1996). "Molecules, Morphology, and Dahlgren's Expanded Order Capparales". Systematic Botany. 21 (3): 289–307. doi:10.2307/2419660. JSTOR 2419660.
- Agerbirk N, Olsen CE (2012). "Glucosinolate structures in evolution". Phytochemistry. 77: 16–45. doi:10.1016/j.phytochem.2012.02.005. PMID 22405332.
- Agerbirk N, Olsen CE (2012). "Glucosinolate structures in evolution". Phytochemistry. 77: 16–45. doi:10.1016/j.phytochem.2012.02.005. PMID 22405332.
- Agerbirk N, Olsen CE (2012). "Glucosinolate structures in evolution". Phytochemistry. 77: 16–45. doi:10.1016/j.phytochem.2012.02.005. PMID 22405332.
- Niels Agerbirk; Carl Erik Olsen (2012). "Glucosinolate structures in evolution". Phytochemistry. 77: 16–45. doi:10.1016/j.phytochem.2012.02.005. PMID 22405332.
- Bongoni, R; Verkerk, R; Steenbekkers, B; Dekker, M; Stieger, M (2014). "Evaluation of Different Cooking Conditions on Broccoli (Brassica oleracea var. italica) to Improve the Nutritional Value and Consumer Acceptance". Plant Foods for Human Nutrition. 69 (3): 228–234. doi:10.1007/s11130-014-0420-2. PMID 24853375. S2CID 35228794.
- Burow, M; Bergner, A; Gershenzon, J; Wittstock, U (2007). "Glucosinolate hydrolysis in Lepidium sativum--identification of the thiocyanate-forming protein". Plant Molecular Biology. 63 (1): 49–61. doi:10.1007/s11103-006-9071-5. PMID 17139450. S2CID 22955134.
- "Plants Poisonous to Livestock: Glucosinolates (Goitrogenic Glycosides)". Cornell University, Department of Animal Science. 10 September 2015. Retrieved 16 August 2018.
- Samuni Blank, M; Arad, Z; Dearing, MD; Gerchman, Y; Karasov, WH; Izhaki, I (2013). "Friend or foe? Disparate plant–animal interactions of two congeneric rodents". Evolutionary Ecology. 27 (6): 1069–1080. doi:10.1007/s10682-013-9655-x. S2CID 280376.
- Van Doorn, Hans E; Van Der Kruk, Gert C; Van Holst, Gerrit-Jan; Raaijmakers-Ruijs, Natasja C M E; Postma, Erik; Groeneweg, Bas; Jongen, Wim H F (1998). "The glucosinolates sinigrin and progoitrin are important determinants for taste preference and bitterness of Brussels sprouts". Journal of the Science of Food and Agriculture. 78: 30–38. doi:10.1002/(SICI)1097-0010(199809)78:1<30::AID-JSFA79>3.0.CO;2-N.
- Samuni-Blank, M; Izhaki, I; Dearing, MD; Gerchman, Y; Trabelcy, B; Lotan, A; Karasov, WH; Arad, Z (2012). Intraspecific directed deterrence by the mustard oil bomb in a desert plant. Current Biology. 22:1-3.
- Tse, G; Eslick, G.D. (2014). "Cruciferous vegetables and risk of colorectal neoplasms: a systematic review and meta-analysis". Nutrition and Cancer. 66 (1): 128–139. doi:10.1080/01635581.2014.852686. PMID 24341734. S2CID 36282786.
- Loef, M.; Walach, H. (2012). "Fruit, vegetables and prevention of cognitive decline or dementia: a systematic review of cohort studies". Journal of Nutrition, Health & Aging. 16 (7): 626–630. doi:10.1007/s12603-012-0097-x. PMID 22836704. S2CID 12090316.
- Furlan, Lorenzo; Bonetto, Christian; Finotto, Andrea; Lazzeri, Luca; Malaguti, Lorena; Patalano, Giampiero; Parker, William (2010). "The efficacy of biofumigant meals and plants to control wireworm populations". Industrial Crops and Products. 31 (2): 245–254. doi:10.1016/j.indcrop.2009.10.012.
- Badenes-Pérez, Francisco Rubén; Reichelt, Michael; Gershenzon, Jonathan; Heckel, David G. (2011). "Phylloplane location of glucosinolates in Barbarea spp. (Brassicaceae) and misleading assessment of host suitability by a specialist herbivore". New Phytologist. 189 (2): 549–556. doi:10.1111/j.1469-8137.2010.03486.x. ISSN 0028-646X. PMID 21029103.
- Wittstock, U; Agerbirk, N; Stauber, EJ; Olsen, CE; Hippler, M; Mitchell-Olds, T; Gershenzon, J; Vogel, H (2004). "Successful herbivore attack due to metabolic diversion of a plant chemical defense". Proceedings of the National Academy of Sciences of the United States of America. 101 (14): 4859–64. Bibcode:2004PNAS..101.4859W. doi:10.1073/pnas.0308007101. PMC 387339. PMID 15051878.
- Ratzka, A.; Vogel, H.; Kliebenstein, D. J.; Mitchell-Olds, T.; Kroymann, J. (2002). "Disarming the mustard oil bomb". Proceedings of the National Academy of Sciences. 99 (17): 11223–11228. Bibcode:2002PNAS...9911223R. doi:10.1073/pnas.172112899. PMC 123237. PMID 12161563.
- Müller, C; Agerbirk, N; Olsen, CE; Boevé, JL; Schaffner, U; Brakefield, PM (2001). "Sequestration of host plant glucosinolates in the defensive hemolymph of the sawfly Athalia rosae". Journal of Chemical Ecology. 27 (12): 2505–16. doi:10.1023/A:1013631616141. PMID 11789955. S2CID 24529256.
- Bridges, M.; Jones, A. M. E.; Bones, A. M.; Hodgson, C.; Cole, R.; Bartlet, E.; Wallsgrove, R.; Karapapa, V. K.; Watts, N.; Rossiter, J. T. (2002). "Spatial organization of the glucosinolate-myrosinase system in brassica specialist aphids is similar to that of the host plant". Proceedings of the Royal Society B. 269 (1487): 187–191. doi:10.1098/rspb.2001.1861. PMC 1690872. PMID 11798435.
- Wheat, C. W.; Vogel, H.; Wittstock, U.; Braby, M. F.; Underwood, D.; Mitchell-Olds, T. (2007). "The genetic basis of a plant insect coevolutionary key innovation". Proceedings of the National Academy of Sciences. 104 (51): 20427–31. Bibcode:2007PNAS..10420427W. doi:10.1073/pnas.0706229104. PMC 2154447. PMID 18077380.
External links
- Glucosinolate metabolism pathways from MetaCyc