Telescoping series
In mathematics, a telescoping series is a series whose partial sums eventually only have a finite number of terms after cancellation.[1][2] The cancellation technique, with part of each term cancelling with part of the next term, is known as the method of differences.
For example, the series
(the series of reciprocals of pronic numbers) simplifies as
A similar concept, telescoping product,[3][4][5] is a finite product (or the partial product of an infinite product) that can be cancelled by method of quotients to be eventually only a finite number of factors.
For example, the infinite product[4]
simplifies as
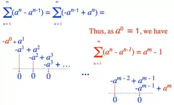
In general

Telescoping sums are finite sums in which pairs of consecutive terms cancel each other, leaving only the initial and final terms.[6]
Let be a sequence of numbers. Then,
If
Telescoping products are finite products in which consecutive terms cancel denominator with numerator, leaving only the initial and final terms.
Let be a sequence of numbers. Then,
If
More examples
- Many trigonometric functions also admit representation as a difference, which allows telescopic cancelling between the consecutive terms.
- Some sums of the form
- where f and g are polynomial functions whose quotient may be broken up into partial fractions, will fail to admit summation by this method. In particular, one has
- The problem is that the terms do not cancel.
- Let k be a positive integer. Then
- where Hk is the kth harmonic number. All of the terms after 1/(k − 1) cancel.
An application in probability theory
In probability theory, a Poisson process is a stochastic process of which the simplest case involves "occurrences" at random times, the waiting time until the next occurrence having a memoryless exponential distribution, and the number of "occurrences" in any time interval having a Poisson distribution whose expected value is proportional to the length of the time interval. Let Xt be the number of "occurrences" before time t, and let Tx be the waiting time until the xth "occurrence". We seek the probability density function of the random variable Tx. We use the probability mass function for the Poisson distribution, which tells us that
where λ is the average number of occurrences in any time interval of length 1. Observe that the event {Xt ≥ x} is the same as the event {Tx ≤ t}, and thus they have the same probability. The density function we seek is therefore
The sum telescopes, leaving
Other applications
For other applications, see:
- Grandi's series;
- Proof that the sum of the reciprocals of the primes diverges, where one of the proofs uses a telescoping sum;
- Order statistic, where a telescoping sum occurs in the derivation of a probability density function;
- Lefschetz fixed-point theorem, where a telescoping sum arises in algebraic topology;
- Homology theory, again in algebraic topology;
- Eilenberg–Mazur swindle, where a telescoping sum of knots occurs;
- Faddeev–LeVerrier algorithm;
- Fundamental theorem of calculus, a continuous analog of telescoping series.
Notes and references
- Tom M. Apostol, Calculus, Volume 1, Blaisdell Publishing Company, 1962, pages 422–3
- Brian S. Thomson and Andrew M. Bruckner, Elementary Real Analysis, Second Edition, CreateSpace, 2008, page 85
- Miraculous Solution To HARD Test Problem, retrieved 2020-02-09
- "Telescoping Series - Product | Brilliant Math & Science Wiki". brilliant.org. Retrieved 2020-02-09.
- "Telescoping Sums, Series and Products". www.cut-the-knot.org. Retrieved 2020-02-09.
- http://mathworld.wolfram.com/TelescopingSum.html "Telescoping Sum" Wolfram Mathworld
