Bis(cyclopentadienyl)titanium(III) chloride
Bis(cyclopentadienyl)titanium(III) chloride, also known as the Nugent–RajanBabu reagent, is the organotitanium compound which exists as a dimer with the formula [(C5H5)2TiCl]2. It is an air sensitive green solid. The complex finds specialized use in synthetic organic chemistry as a single electron reductant.
![]() | |
| Names | |
|---|---|
| Other names
titanocene monochloride Nugent–RajanBabu reagent | |
| Identifiers | |
3D model (JSmol) |
|
PubChem CID |
|
| |
| |
| Properties | |
| C20H20Cl2Ti2 | |
| Molar mass | 427.01 g·mol−1 |
| Appearance | green solid |
Except where otherwise noted, data are given for materials in their standard state (at 25 °C [77 °F], 100 kPa). | |
| Infobox references | |
In the presence of a suitable solvent that can act as a two-electron donor ("solv"), such as an ether like tetrahydrofuran, the dimer separates and forms a chemical equilibrium between the forms [(C5H5)2TiCl] and [(C5H5)2Ti(solv)Cl]. It is these forms that are responsible for much of the chemical properties of this reagent, which is also the reason that the substance is sometimes written as [(C5H5)2TiCl] or [Cp2TiCl], where Cp− represents the cyclopentadienyl anion.
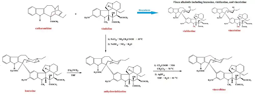
An example of an application of this reagent is in the preparation of vinorelbine, a chemotherapeutic agent which can be prepared in three steps from the naturally-occurring alkaloid leurosine.
Synthesis and structure
It was first reported in 1955 by Geoffrey Wilkinson[1] It is commonly prepared by reducing titanocene dichloride with zinc,[2] manganese, or magnesium.[3] For use in organic synthesis, the reagent is often prepared and used directly in situ.[4]
The molecule adopts a dimeric structure with bridging chlorides,[5] though in an appropriate solvent such as THF,[4] exists in a chemical equilibrium with monomeric structures:[5]

The compound is also known as the Nugent–RajanBabu reagent, after scientists William A. Nugent and T. V. (Babu) RajanBabu, and has found applications in free radical and organometallic chemistry.[6]
Use in organic synthesis

Bis(cyclopentadienyl)titanium(III) chloride effects the anti-Markovnikov opening of epoxides to a free radical intermediate and is tolerant of alcohols and some basic nitrogen functional groups, however it is sensitive to oxidizing functional groups such as nitro groups.[7] As can be seen in the above illustration, subsequent reaction proceeds along a pathway determined by added reagents and reaction conditions:[8]
- In the presence of hydrogen atom donors, such as 1,4-cyclohexadiene,[9] tBuSH,[10] water,[11] the intermediate is protonated to an alcohol product. This transformation provides the complementary regioisomer to that of an epoxide opening using a metal hydride;[7] in particular, the use of lithium aluminium hydride to form the Markovnikov alcohol and particularly axial cyclohexanols from epoxycyclohexanes is well known.[12][13]
- Reaction of the intermediate with a second equivalent of Cp2TiCl traps the radical as an alkyl-titanium(IV) species which can either undergo β-hydride elimination (favoured for 3° species) or dehydration via β-alkoxy elimination; in both cases an olefin product is generated.[7][8][14]
- The radical intermediate can also be trapped intramolecularly when an appropriate acceptor moiety (such as an alkene, alkyne, carbonyl, etc.) is present in the epoxide. Synthesis of natural products with multiple ring systems have taken advantage of this pathway.[14] Intermolecular trapping of acrylates and acrylonitriles with radicals derived from epoxides is possible,[15] as well as conjunctive intra-intermolecular variants.[16]
- Another pathway intercepts the radical intermediate with nickel catalysis and facilitates enantioselective cross-coupling of opened epoxides with halide and pseudohalide electrophiles.[17]

The reagent has been used in the synthesis of over 20 natural products.[6][7][14] Ceratopicanol is a naturally-occurring sesquiterpene and its carbon skeleton is incorporated with the structures of both anislactone A and merrilactone A.[8][14] A regioselective epoxide opening and 5-exo dig radical cyclization to forge the core of ceratopicanol.[14][18] Addition of a hydrochloride salt to the reaction facilitates release of the oxygen-bound titanium(IV) intermediate, allowing the reagent to be recycled.[19]
The Madagascan periwinkle Catharanthus roseus L. is the source for a number of important natural products, including catharanthine and vindoline[20] and the vinca alkaloids it produces from them: leurosine and the chemotherapy agents vinblastine and vincristine, all of which can be obtained from the plant.[8][21][22][23] The newer semi-synthetic chemotherapeutic agent vinorelbine is used in the treatment of non-small-cell lung cancer[22][24] and is not known to occur naturally. However, it can be prepared either from vindoline and catharanthine[22][25] or from leurosine,[26] in both cases by synthesis of anhydrovinblastine, which "can be considered as the key intermediate for the synthesis of vinorelbine."[22] The leurosine pathway uses the Nugent–RajanBabu reagent in a highly chemoselective de-oxygenation of leurosine.[14][26] Anhydrovinblastine is then reacted sequentially with N-bromosuccinimide and trifluoroacetic acid followed by silver tetrafluoroborate to yield vinorelbine.[25]

Additional reactivity
Cyclic and benzylic ketones are reduced to their respective alcohols.[27]

Bis(cyclopentadienyl)titanium(III) chloride also effects both Pinacol[28][29] and McMurry[30] couplings of aldehydes and ketones. Barbier-type reactivity is observed between aldehydes or ketones and allyl electrophiles under catalytic conditions.[31] The proposed mechanism involves titanium(III)-mediated generation of an allyl radical species which intercepts a titanium(III)-coordinated carbonyl. Another application involves the single electron reduction of enones to generate allylic radicals which can undergo intermolecular trapping with acrylonitirles to afford Michael type adducts.[32] Benzylic and allylic alcohols can be de-oxygenated under mild conditions using super-stoichiometric Cp2TiCl, however the reported scope for aliphatic alcohols is currently limited.[30]

Mechanism
The dimeric titanium(III) complex reversibly dissociates to the monomer Cp2TiCl. This 15 electron species is Lewis acidic and thus binds epoxides and carbonyl compounds.[33] The complex transfers a single electron to the coordinated substrate generating an alkyl centered radical and an oxygen bound titanium(IV) species. This process is driven by the strength of the titanium-oxygen bond, as well as strain release in the case of epoxides.[34]
References
- Birmingham, J. M.; Fischer, A. K.; Wilkinson, G. (1955). "The reduction of bis-cyclopentadienyl compounds". Naturwissenschaften. 42 (4): 96. Bibcode:1955NW.....42Q..96B. doi:10.1007/BF00617242. S2CID 44523847.
- Manzer, L. E.; Mintz, E. A.; Marks, T. J. (1982). "Cyclopentadienyl Complexes of Titanium(III) and Vanadium(III)". Inorganic Syntheses. 21: 84–86. doi:10.1002/9780470132524.ch18. ISBN 9780470132524.
- Handa, Yuichi; Inanaga, Junji (1987). "A highly stereoselective pinacolization of aromatic and α, β-unsaturated aldehydes mediated by titanium(III)-magnesium(II) complex". Tetrahedron Letters. 28 (46): 5717–5718. doi:10.1016/S0040-4039(00)96822-9.
- Nugent, William A.; RajanBabu, T. V. (1988). "Transition-metal-centered radicals in organic synthesis. Titanium(III)-induced cyclization of epoxy olefins". Journal of the American Chemical Society. 110 (25): 8561–8562. doi:10.1021/ja00233a051.
- Jungst, Rudolph; Sekutowski, Dennis; Davis, Jimmy; Luly, Matthew; Stucky, Galen (1977). "Structural and magnetic properties of di-μ-chloro-bis[bis(η5-cyclopentadienyl)titanium(III)] and di-μ-bromo-bis[bis(η5-methylcyclopentadienyl)titanium(III)]". Inorganic Chemistry. 16 (7): 1645–1655. doi:10.1021/ic50173a015.
- Rosales, Antonio; Rodríguez-Garcia, Ignacio; Muñoz-Bascón, Juan; Roldan-Molina, Esther; Padial, Natalia M.; Morales, Laura P.; García-Ocaña, Marta; Oltra, J. Enrique (2015). "The Nugent Reagent: A Formidable Tool in Contemporary Radical and Organometallic Chemistry". European Journal of Organic Chemistry. 2015 (21): 4567–4591. doi:10.1002/ejoc.201500292.
This review article was corrected to refer to the "Nugent–RajanBabu Reagent" rather than the "Nugent Reagent" by:
Rosales, Antonio; Rodríguez-Garcia, Ignacio; Muñoz-Bascón, Juan; Roldan-Molina, Esther; Padial, Natalia M.; Morales, Laura P.; García-Ocaña, Marta; Oltra, J. Enrique (2015). "The Nugent–RajanBabu Reagent: A Formidable Tool in Contemporary Radical and Organometallic Chemistry". European Journal of Organic Chemistry. 2015 (21): 4592. doi:10.1002/ejoc.201500761. - Nugent, William A. (January 1, 2001). Encyclopedia of Reagents for Organic Synthesis. John Wiley & Sons. doi:10.1002/047084289x.rn00294. ISBN 9780470842898.
- Gansäuer, Andreas; Justicia, José; Fan, Chun-An; Worgull, Dennis; Piestert, Frederik (2007). "Reductive C—C bond formation after epoxide opening via electron transfer". In Krische, Michael J. (ed.). Metal Catalyzed Reductive C—C Bond Formation: A Departure from Preformed Organometallic Reagents. Topics in Current Chemistry. 279. Springer Science & Business Media. pp. 25–52. doi:10.1007/128_2007_130. ISBN 9783540728795.
- RajanBabu, T. V.; Nugent, William A.; Beattie, Margaret S. (1990). "Free radical-mediated reduction and deoxygenation of epoxides". Journal of the American Chemical Society. 112 (17): 6408–6409. doi:10.1021/ja00173a045.
- RajanBabu, T. V.; Nugent, William A. (1994). "Selective generation of free radicals from epoxides using a transition-metal radical. A powerful new tool for organic synthesis". Journal of the American Chemical Society. 116 (3): 986–997. doi:10.1021/ja00082a021.
- Barrero, Alejandro F.; Oltra, J. Enrique; Cuerva, Juan M.; Rosales, Antonio (2002). "Effects of solvents and water in Ti(III)-mediated radical cyclizations of epoxygermacrolides. Straightforward synthesis and absolute stereochemistry of (+)-3α-hydroxyreynosin and related eudesmanolides". Journal of Organic Chemistry. 67 (8): 2566–2571. doi:10.1021/jo016277e. PMID 11950302.
- Rickborn, Bruce; Quartucci, Joe (1964). "Stereochemistry and mechanism of lithium aluminum hydride and mixed hydride reduction of 4-t-butylcyclohexene oxide". Journal of Organic Chemistry. 29 (11): 3185–3188. doi:10.1021/jo01034a015.
- Rickborn, Bruce; Lamke, Wallace E. (1967). "Reduction of epoxides. II. The lithium aluminum hydride and mixed hydride reduction of 3-methylcyclohexene oxide". Journal of Organic Chemistry. 32 (3): 537–539. doi:10.1021/jo01278a005.
- Morcillo, Sara P.; Miguel, Delia; Campaña, Araceli G.; Cienfuegos, Luis Álvarez de; Justicia, José; Cuerva, Juan M. (2014). "Recent applications of Cp2TiCl in natural product synthesis". Organic Chemistry Frontiers. 1 (1): 15–33. doi:10.1039/c3qo00024a.
- RajanBabu, T. V.; Nugent, William A. (1989). "Intermolecular addition of epoxides to activated olefins: a new reaction". Journal of the American Chemical Society. 111 (12): 4525–4527. doi:10.1021/ja00194a073.
- Gansäuer, Andreas; Pierobon, Marianna; Bluhm, Harald (2002). "Stereoselective synthesis of tri- and tetrasubstituted olefins by tandem cyclization addition reactions featuring vinyl radicals". Angewandte Chemie International Edition. 41 (17): 3206–3208. doi:10.1002/1521-3773(20020902)41:17<3206::AID-ANIE3206>3.0.CO;2-2. PMID 12207390.
- Zhao, Yang; Weix, Daniel J. (2015). "Enantioselective cross-coupling of meso-epoxides with aryl halides". Journal of the American Chemical Society. 137 (9): 3237–3240. doi:10.1021/jacs.5b01909. PMC 4415026. PMID 25716775.
- Clive, D. L. J.; Magnuson, Steven R.; Manning, Hartford W.; Mayhew, Darrin L. (1996). "Cyclopentannulation by an iterative process of sequential Claisen rearrangement and enyne radical closure: Routes to triquinane and propellane systems and use in the synthesis of (±)-ceratopicanol". Journal of Organic Chemistry. 61 (6): 2095–2108. doi:10.1021/jo951930h.
- Gansäuer, Andreas; Pierobon, Marianna; Bluhm, Harald (1998). "Catalytic, highly regio- and chemoselective generation of radicals from epoxides: Titanocene dichloride as an electron transfer catalyst in transition metal catalyzed radical reactions". Angewandte Chemie International Edition. 37 (1–2): 101–103. doi:10.1002/(sici)1521-3773(19980202)37:1/2<101::aid-anie101>3.0.co;2-w.
- Hirata, K.; Miyamoto, K.; Miura, Y. (1994). "Catharanthus roseus L. (Periwinkle): Production of Vindoline and Catharanthine in Multiple Shoot Cultures". In Bajaj, Y. P. S. (ed.). Biotechnology in Agriculture and Forestry 26. Medicinal and Aromatic Plants. VI. Springer-Verlag. pp. 46–55. ISBN 9783540563914.
- Cooper, Raymond; Deakin, Jeffrey John (2016). "Africa's gift to the world". Botanical Miracles: Chemistry of Plants That Changed the World. CRC Press. pp. 46–51. ISBN 9781498704304.
- Keglevich, Péter; Hazai, Laszlo; Kalaus, György; Szántay, Csaba (2012). "Modifications on the basic skeletons of vinblastine and vincristine". Molecules. 17 (5): 5893–5914. doi:10.3390/molecules17055893. PMC 6268133. PMID 22609781.
- Raviña, Enrique (2011). "Vinca alkaloids". The evolution of drug discovery: From traditional medicines to modern drugs. John Wiley & Sons. pp. 157–159. ISBN 9783527326693.
- Faller, Bryan A.; Pandi, Trailokya N. (2011). "Safety and efficacy of vinorelbine in the treatment of non-small cell lung cancer". Clinical Medicine Insights: Oncology. 5: 131–144. doi:10.4137/CMO.S5074. PMC 3117629. PMID 21695100.
- Ngo, Quoc Anh; Roussi, Fanny; Cormier, Anthony; Thoret, Sylviane; Knossow, Marcel; Guénard, Daniel; Guéritte, Françoise (2009). "Synthesis and biological evaluation of Vinca alkaloids and phomopsin hybrids". Journal of Medicinal Chemistry. 52 (1): 134–142. doi:10.1021/jm801064y. PMID 19072542.
- Hardouin, Christophe; Doris, Eric; Rousseau, Bernard; Mioskowski, Charles (2002). "Concise synthesis of anhydrovinblastine from leurosine". Organic Letters. 4 (7): 1151–1153. doi:10.1021/ol025560c. PMID 11922805.
- Barrero, Alejandro F.; Rosales, Antonio; Cuerva, Juan M.; Gansäuer, Andreas; Oltra, J. Enrique (2003). "Titanocene-catalysed, selective reduction of ketones in aqueous media. A safe, mild, inexpensive procedure for the synthesis of secondary alcohols via radical chemistry". Tetrahedron Letters. 44 (5): 1079–1082. doi:10.1016/S0040-4039(02)02703-X.
- Gansäuer, Andreas (1997). "Pinacol coupling of aromatic aldehydes catalysed by a titanocene complex: A transition metal catalysed radical reaction". Chemical Communications. 1997 (5): 457–458. doi:10.1039/A608438I.
- Paradas, Miguel; Campaña, Araceli G.; Estévez, Rosa E.; Cienfuegos, Luis Álvarez de; Jiménez, Tania; Robles, Rafael; Cuerva, Juan M.; Oltra, J. Enrique (2009). "Unexpected TiIII/Mn-promoted pinacol coupling of ketones". Journal of Organic Chemistry. 74 (9): 3616–3619. doi:10.1021/jo9005238. PMID 19334701.
- Diéguez, Horacio R.; López, Armando; Domingo, Victoriano; Arteaga, Jesús F.; Dobado, José A.; Herrador, M. Mar; Moral, José F. Quílez del; Barrero, Alejandro F. (2010). "Weakening C—O bonds: Ti(III), a new reagent for alcohol deoxygenation and carbonyl coupling olefination". Journal of the American Chemical Society. 132 (1): 254–259. doi:10.1021/ja906083c. PMID 20000601.
- Rosales, Antonio; Oller-López, Juan L.; Justicia, José; Gansäuer, Andreas; Oltra, J. Enrique; Cuerva, Juan M. (2004). "Unprecedented Barbier-type reactions catalysed by titanocene(III)". Chemical Communications. 2004 (22): 2628–2629. doi:10.1039/B411173G. PMID 15543313.
- Streuff, Jan (2011). "A titanium(III)-catalyzed redox Umpolung reaction for the reductive cross-coupling of enones with acrylonitriles". Chemistry – A European Journal. 17 (20): 5507–5510. doi:10.1002/chem.201100501. PMID 21488110.
- Cangönül, Asli; Behlendorf, Maike; Gansäuer, Andreas; Gastel, Maurice van (2013). "Radical-based epoxide opening by titanocenes". Inorganic Chemistry. 52 (20): 11859–11866. doi:10.1021/ic401403a. PMID 24112112.
- Gansäuer, Andreas; Barchuk, Andriy; Keller, Florian; Schmitt, Martin; Grimme, Stefan; Gerenkamp, Mareike; Mück-Lichtenfeld, Christian; Daasbjerg, Kim; Svith, Heidi (2007). "Mechanism of titanocene-mediated epoxide opening through homolytic substitution". Journal of the American Chemical Society. 129 (5): 1359–1371. doi:10.1021/ja067054e. PMID 17263420.
