Partially ordered set
In mathematics, especially order theory, a partially ordered set (also poset) formalizes and generalizes the intuitive concept of an ordering, sequencing, or arrangement of the elements of a set. A poset consists of a set together with a binary relation indicating that, for certain pairs of elements in the set, one of the elements precedes the other in the ordering. The relation itself is called a "partial order." The word partial in the names "partial order" and "partially ordered set" is used as an indication that not every pair of elements needs to be comparable. That is, there may be pairs of elements for which neither element precedes the other in the poset. Partial orders thus generalize total orders, in which every pair is comparable.
| Binary relations | ||||||||||||||||||||||||||||||||||||||||||||||||||||||||||||||||||||||||||||||||||||
|---|---|---|---|---|---|---|---|---|---|---|---|---|---|---|---|---|---|---|---|---|---|---|---|---|---|---|---|---|---|---|---|---|---|---|---|---|---|---|---|---|---|---|---|---|---|---|---|---|---|---|---|---|---|---|---|---|---|---|---|---|---|---|---|---|---|---|---|---|---|---|---|---|---|---|---|---|---|---|---|---|---|---|---|---|
| ||||||||||||||||||||||||||||||||||||||||||||||||||||||||||||||||||||||||||||||||||||
| A "✓" indicates that the column property is required in the row definition. For example, the definition of an equivalence relation requires it to be symmetric. All definitions tacitly require transitivity and reflexivity. |

Formally, a partial order is any binary relation that is reflexive (each element is comparable to itself), antisymmetric (no two different elements precede each other), and transitive (the start of a chain of precedence relations must precede the end of the chain).
One familiar example of a partially ordered set is a collection of people ordered by genealogical descendancy. Some pairs of people bear the descendant-ancestor relationship, but other pairs of people are incomparable, with neither being a descendant of the other.
A poset can be visualized through its Hasse diagram, which depicts the ordering relation.[1]
Formal definition
A (non-strict) partial order[2] is a homogeneous binary relation ≤ over a set P satisfying particular axioms which are discussed below. When a ≤ b, we say that a is related to b. (This does not imply that b is also related to a, because the relation need not be symmetric.)
The axioms for a non-strict partial order state that the relation ≤ is reflexive, antisymmetric, and transitive. That is, for all a, b, and c in P, it must satisfy:
- a ≤ a (reflexivity: every element is related to itself).
- if a ≤ b and b ≤ a, then a = b (antisymmetry: two distinct elements cannot be related in both directions).
- if a ≤ b and b ≤ c, then a ≤ c (transitivity: if a first element is related to a second element, and, in turn, that element is related to a third element, then the first element is related to the third element).
In other words, a partial order is an antisymmetric preorder.
A set with a partial order is called a partially ordered set (also called a poset). The term ordered set is sometimes also used, as long as it is clear from the context that no other kind of order is meant. In particular, totally ordered sets can also be referred to as "ordered sets", especially in areas where these structures are more common than posets.
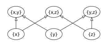
For a, b, elements of a partially ordered set P, if a ≤ b or b ≤ a, then a and b are comparable. Otherwise they are incomparable. In the figure on top-right, e.g. {x} and {x, y, z} are comparable, while {x} and {y} are not. A partial order under which every pair of elements is comparable is called a total order or linear order; a totally ordered set is also called a chain (e.g., the natural numbers with their standard order). A subset of a poset in which no two distinct elements are comparable is called an antichain (e.g. the set of singletons {{x}, {y}, {z}} in the top-right figure). An element a is said to be strictly less than an element b, if a ≤ b and a ≠ b. An element a is said to be covered by another element b, written a ⋖ b (or a <: b), if a is strictly less than b and no third element c fits between them; formally: if both a ≤ b and a ≠ b are true, and a ≤ c ≤ b is false for each c with a ≠ c ≠ b. A more concise definition will be given below using the strict order corresponding to "≤". For example, {x} is covered by {x, z} in the top-right figure, but not by {x, y, z}.
Examples
Standard examples of posets arising in mathematics include:
- The real numbers ordered by the standard less-than-or-equal relation ≤ (a totally ordered set as well).
- The set of subsets of a given set (its power set) ordered by inclusion (see the figure on top-right). Similarly, the set of sequences ordered by subsequence, and the set of strings ordered by substring.
- The set of natural numbers equipped with the relation of divisibility.
- The vertex set of a directed acyclic graph ordered by reachability.
- The set of subspaces of a vector space ordered by inclusion.
- For a partially ordered set P, the sequence space containing all sequences of elements from P, where sequence a precedes sequence b if every item in a precedes the corresponding item in b. Formally, (an)n∈ℕ ≤ (bn)n∈ℕ if and only if an ≤ bn for all n in ℕ, i.e. a componentwise order.
- For a set X and a partially ordered set P, the function space containing all functions from X to P, where f ≤ g if and only if f(x) ≤ g(x) for all x in X.
- A fence, a partially ordered set defined by an alternating sequence of order relations a < b > c < d ...
- The set of events in special relativity and, in most cases,[3] general relativity, where for two events X and Y, X ≤ Y if and only if Y is in the future light cone of X. An event Y can only be causally affected by X if X ≤ Y.
Extrema
![]() Nonnegative integers, ordered by divisibility |
![]() The figure above with the greatest and least elements removed. In this reduced poset, the top row of elements are all maximal elements, and the bottom row are all minimal elements, but there is no greatest and no least element. The set {x, y} is an upper bound for the collection of elements {{x}, {y}}. |
There are several notions of "greatest" and "least" element in a poset P, notably:
- Greatest element and least element: An element g in P is a greatest element if for every element a in P, a ≤ g. An element m in P is a least element if for every element a in P, a ≥ m. A poset can only have one greatest or least element.
- Maximal elements and minimal elements: An element g in P is a maximal element if there is no element a in P such that a > g. Similarly, an element m in P is a minimal element if there is no element a in P such that a < m. If a poset has a greatest element, it must be the unique maximal element, but otherwise there can be more than one maximal element, and similarly for least elements and minimal elements.
- Upper and lower bounds: For a subset A of P, an element x in P is an upper bound of A if a ≤ x, for each element a in A. In particular, x need not be in A to be an upper bound of A. Similarly, an element x in P is a lower bound of A if a ≥ x, for each element a in A. A greatest element of P is an upper bound of P itself, and a least element is a lower bound of P.
For example, consider the positive integers, ordered by divisibility: 1 is a least element, as it divides all other elements; on the other hand this poset does not have a greatest element (although if one would include 0 in the poset, which is a multiple of any integer, that would be a greatest element; see figure). This partially ordered set does not even have any maximal elements, since any g divides for instance 2g, which is distinct from it, so g is not maximal. If the number 1 is excluded, while keeping divisibility as ordering on the elements greater than 1, then the resulting poset does not have a least element, but any prime number is a minimal element for it. In this poset, 60 is an upper bound (though not a least upper bound) of the subset {2, 3, 5, 10}, which does not have any lower bound (since 1 is not in the poset); on the other hand 2 is a lower bound of the subset of powers of 2, which does not have any upper bound.
Orders on the Cartesian product of partially ordered sets
![]() Reflexive closure of strict direct product order on ℕ×ℕ. Elements covered by (3,3) and covering (3,3) are highlighted in green and red, respectively. |
![]() Product order on ℕ×ℕ |
![]() Lexicographic order on ℕ×ℕ |
In order of increasing strength, i.e., decreasing sets of pairs, three of the possible partial orders on the Cartesian product of two partially ordered sets are (see figures):
- the lexicographical order: (a,b) ≤ (c,d) if a < c or (a = c and b ≤ d);
- the product order: (a,b) ≤ (c,d) if a ≤ c and b ≤ d;
- the reflexive closure of the direct product of the corresponding strict orders: (a,b) ≤ (c,d) if (a < c and b < d) or (a = c and b = d).
All three can similarly be defined for the Cartesian product of more than two sets.
Applied to ordered vector spaces over the same field, the result is in each case also an ordered vector space.
See also orders on the Cartesian product of totally ordered sets.
Sums of partially ordered sets

Another way to combine two posets is the ordinal sum[4] (or linear sum[5]), Z = X ⊕ Y, defined on the union of the underlying sets X and Y by the order a ≤Z b if and only if:
- a, b ∈ X with a ≤X b, or
- a, b ∈ Y with a ≤Y b, or
- a ∈ X and b ∈ Y.
If two posets are well-ordered, then so is their ordinal sum.[6] The ordinal sum operation is one of two operations used to form series-parallel partial orders, and in this context is called series composition. The other operation used to form these orders, the disjoint union of two partially ordered sets (with no order relation between elements of one set and elements of the other set) is called in this context parallel composition.
Strict and non-strict partial orders
In some contexts, the partial order defined above is called a non-strict (or reflexive) partial order. In these contexts, a strict (or irreflexive) partial order is a binary relation that is irreflexive, transitive and asymmetric, that is, which satisfies the following relations for all a, b, and c in P:
- Irreflexivity: not a < a,
- Transitivity: if a < b and b < c then a < c, and
- Asymmetry: if a < b then not b < a.
Irreflexivity and transitivity together imply asymmetry,[7] so a relation is a strict partial order if and only if it is transitive and irreflexive. Also, asymmetry implies irreflexivity[7] so a relation is a strict partial order if and only if it is transitive and asymmetry. In other words, a transitive relation is asymmetric if and only if it is irreflexive.
Strict and non-strict partial orders are closely related. A non-strict partial order may be converted to a strict partial order by removing all relationships of the form Conversely, a strict partial order may be converted to a non-strict partial order by adjoining all relationships of that form. Thus, if is a non-strict partial order, then the corresponding strict partial order is the irreflexive kernel given by
- a < b if a ≤ b and a ≠ b.
Conversely, if is a strict partial order, then the corresponding non-strict partial order is the reflexive closure given by:
- a ≤ b if a < b or a = b.
This is the reason for using the notation
Using the strict order the relation "a is covered by b" can be equivalently rephrased as "a < b, but not a < c < b for any c". Strict partial orders are useful because they correspond more directly to directed acyclic graphs (dags): every strict partial order is a dag, and the transitive closure of a dag is both a strict partial order and also a dag itself.
Inverse and order dual
The inverse (or converse) of a partial order relation ≤ is the converse of ≤. Typically denoted ≥, it is the relation that satisfies x ≥ y if and only if y ≤ x. The inverse of a partial order relation is reflexive, transitive, and antisymmetric, and hence itself a partial order relation. The order dual of a partially ordered set is the same set with the partial order relation replaced by its inverse. The irreflexive relation > is to ≥ as < is to ≤.
Any one of the four relations ≤, <, ≥, and > on a given set uniquely determines the other three.
In general two elements x and y of a partial order may stand in any of four mutually exclusive relationships to each other: either x < y, or x = y, or x > y, or x and y are incomparable (none of the other three, the definition of incomparability here is different from that in weak ordering). A totally ordered set is one that rules out this fourth possibility: all pairs of elements are comparable and we then say that trichotomy holds. The natural numbers, the integers, the rationals, and the reals are all totally ordered by their algebraic (signed) magnitude whereas the complex numbers are not. This is not to say that the complex numbers cannot be totally ordered; we could for example order them lexicographically via x + iy < u + iv if and only if x < u or (x = u and y < v), but this is not ordering by magnitude in any reasonable sense as it makes 1 greater than 100i. Ordering them by absolute magnitude yields a preorder in which all pairs are comparable, but this is not a partial order since 1 and i have the same absolute magnitude but are not equal, violating antisymmetry.
Mappings between partially ordered sets
![]() Order isomorphism between the divisors of 120 (partially ordered by divisibility) and the divisor-closed subsets of {2, 3, 4, 5, 8} (partially ordered by set inclusion) |
![]() Order-preserving, but not order-reflecting (since f(u) ≼ f(v), but not u ≤ v) map. |
Given two partially ordered sets (S, ≤) and (T, ≼),[8] a function f: S → T is called order-preserving, or monotone, or isotone, if for all x and y in S, x ≤ y implies f(x) ≼ f(y). If (U, ≲) is also a partially ordered set, and both f: S → T and g: T → U are order-preserving, their composition g∘f : S → U is order-preserving, too. A function f: S → T is called order-reflecting if for all x and y in S, f(x) ≼ f(y) implies x ≤ y. If f is both order-preserving and order-reflecting, then it is called an order-embedding of (S, ≤) into (T, ≼). In the latter case, f is necessarily injective, since f(x) = f(y) implies x ≤ y and y ≤ x and in turn x=y according to the antisymmetry of ≤. If an order-embedding between two posets S and T exists, one says that S can be embedded into T. If an order-embedding f: S → T is bijective, it is called an order isomorphism, and the partial orders (S, ≤) and (T, ≼) are said to be isomorphic. Isomorphic orders have structurally similar Hasse diagrams (cf. right picture). It can be shown that if order-preserving maps f: S → T and g: T → S exist such that g∘f and f∘g yields the identity function on S and T, respectively, then S and T are order-isomorphic.[9]
For example, a mapping f: ℕ → ℙ(ℕ) from the set of natural numbers (ordered by divisibility) to the power set of natural numbers (ordered by set inclusion) can be defined by taking each number to the set of its prime divisors. It is order-preserving: if x divides y, then each prime divisor of x is also a prime divisor of y. However, it is neither injective (since it maps both 12 and 6 to {2, 3}) nor order-reflecting (since 12 doesn't divide 6). Taking instead each number to the set of its prime power divisors defines a map g: ℕ → ℙ(ℕ) that is order-preserving, order-reflecting, and hence an order-embedding. It is not an order-isomorphism (since it e.g. doesn't map any number to the set {4}), but it can be made one by restricting its codomain to g(ℕ). The right picture shows a subset of ℕ and its isomorphic image under g. The construction of such an order-isomorphism into a power set can be generalized to a wide class of partial orders, called distributive lattices, see "Birkhoff's representation theorem".
Number of partial orders
Sequence A001035 in OEIS gives the number of partial orders on a set of n labeled elements:
| Elements | Any | Transitive | Reflexive | Preorder | Partial order | Total preorder | Total order | Equivalence relation |
|---|---|---|---|---|---|---|---|---|
| 0 | 1 | 1 | 1 | 1 | 1 | 1 | 1 | 1 |
| 1 | 2 | 2 | 1 | 1 | 1 | 1 | 1 | 1 |
| 2 | 16 | 13 | 4 | 4 | 3 | 3 | 2 | 2 |
| 3 | 512 | 171 | 64 | 29 | 19 | 13 | 6 | 5 |
| 4 | 65,536 | 3,994 | 4,096 | 355 | 219 | 75 | 24 | 15 |
| n | 2n2 | 2n2−n | ∑n k=0 k! S(n, k) |
n! | ∑n k=0 S(n, k) | |||
| OEIS | A002416 | A006905 | A053763 | A000798 | A001035 | A000670 | A000142 | A000110 |
The number of strict partial orders is the same as that of partial orders.
If the count is made only up to isomorphism, the sequence 1, 1, 2, 5, 16, 63, 318, … (sequence A000112 in the OEIS) is obtained.
Linear extension
A partial order ≤* on a set X is an extension of another partial order ≤ on X provided that for all elements x and y of X, whenever x ≤ y, it is also the case that x ≤* y. A linear extension is an extension that is also a linear (i.e., total) order. As a classic example, the lexicographic order of totally ordered sets is a linear extension of their product order. Every partial order can be extended to a total order (order-extension principle).[10]
In computer science, algorithms for finding linear extensions of partial orders (represented as the reachability orders of directed acyclic graphs) are called topological sorting.
In category theory
Every poset (and every preordered set) may be considered as a category where, for objects x and y, there is at most one morphism from x to y. More explicitly, let hom(x, y) = {(x, y)} if x ≤ y (and otherwise the empty set) and (y, z)∘(x, y) = (x, z). Such categories are sometimes called posetal.
Posets are equivalent to one another if and only if they are isomorphic. In a poset, the smallest element, if it exists, is an initial object, and the largest element, if it exists, is a terminal object. Also, every preordered set is equivalent to a poset. Finally, every subcategory of a poset is isomorphism-closed.
Partial orders in topological spaces
If P is a partially ordered set that has also been given the structure of a topological space, then it is customary to assume that is a closed subset of the topological product space . Under this assumption partial order relations are well behaved at limits in the sense that if , and , and for all , then .[11]
Intervals
An interval in a poset P is a subset I of P with the property that, for any x and y in I and any z in P, if x ≤ z ≤ y, then z is also in I. (This definition generalizes the interval definition for real numbers.)
For a ≤ b, the closed interval [a, b] is the set of elements x satisfying a ≤ x ≤ b (i.e. a ≤ x and x ≤ b). It contains at least the elements a and b.
Using the corresponding strict relation "<", the open interval (a, b) is the set of elements x satisfying a < x < b (i.e. a < x and x < b). An open interval may be empty even if a < b. For example, the open interval (1, 2) on the integers is empty since there are no integers I such that 1 < I < 2.
The half-open intervals [a, b) and (a, b] are defined similarly.
Sometimes the definitions are extended to allow a > b, in which case the interval is empty.
An interval I is bounded if there exist elements a and b of P such that I ⊆ [a, b]. Every interval that can be represented in interval notation is obviously bounded, but the converse is not true. For example, let P = (0, 1) ∪ (1, 2) ∪ (2, 3) as a subposet of the real numbers. The subset (1, 2) is a bounded interval, but it has no infimum or supremum in P, so it cannot be written in interval notation using elements of P.
A poset is called locally finite if every bounded interval is finite. For example, the integers are locally finite under their natural ordering. The lexicographical order on the cartesian product ℕ×ℕ is not locally finite, since (1, 2) ≤ (1, 3) ≤ (1, 4) ≤ (1, 5) ≤ ... ≤ (2, 1). Using the interval notation, the property "a is covered by b" can be rephrased equivalently as [a, b] = {a, b}.
This concept of an interval in a partial order should not be confused with the particular class of partial orders known as the interval orders.
See also
- Antimatroid, a formalization of orderings on a set that allows more general families of orderings than posets
- Causal set, a poset-based approach to quantum gravity
- Comparability graph
- Complete partial order
- Directed set
- Graded poset
- Incidence algebra
- lattice
- Locally finite poset
- Möbius function on posets
- Nested Set Collection
- Order polytope
- Ordered group
- Poset topology, a kind of topological space that can be defined from any poset
- Scott continuity – continuity of a function between two partial orders.
- Semilattice
- Semiorder
- Stochastic dominance
- Strict weak ordering – strict partial order "<" in which the relation "neither a < b nor b < a" is transitive.
- Total order
- Tree (data structure of set inclusion)
- Zorn's lemma
Notes
- Merrifield, Richard E.; Simmons, Howard E. (1989). Topological Methods in Chemistry. New York: John Wiley & Sons. pp. 28. ISBN 0-471-83817-9. Retrieved 27 July 2012.
A partially ordered set is conveniently represented by a Hasse diagram...
- Simovici, Dan A. & Djeraba, Chabane (2008). "Partially Ordered Sets". Mathematical Tools for Data Mining: Set Theory, Partial Orders, Combinatorics. Springer. ISBN 9781848002012.
- See General_relativity#Time_travel
- Neggers, J.; Kim, Hee Sik (1998), "4.2 Product Order and Lexicographic Order", Basic Posets, World Scientific, pp. 62–63, ISBN 9789810235895
- Davey, B. A.; Priestley, H. A. (2002). Introduction to Lattices and Order (Second ed.). New York: Cambridge University Press. pp. 17–18. ISBN 0-521-78451-4 – via Google Books.
- P. R. Halmos (1974). Naive Set Theory. Springer. p. 82. ISBN 978-1-4757-1645-0.
- Flaška, V.; Ježek, J.; Kepka, T.; Kortelainen, J. (2007). Transitive Closures of Binary Relations I. Prague: School of Mathematics - Physics Charles University. p. 1. Lemma 1.1 (iv). This source refers to asymmetric relations as "strictly antisymmetric".
- the partial orders ≤ and ≼ can be different, but need not
- Davey, B. A.; Priestley, H. A. (2002). "Maps between ordered sets". Introduction to Lattices and Order (2nd ed.). New York: Cambridge University Press. pp. 23–24. ISBN 0-521-78451-4. MR 1902334..
- Jech, Thomas (2008) [1973]. The Axiom of Choice. Dover Publications. ISBN 978-0-486-46624-8.
- Ward, L. E. Jr (1954). "Partially Ordered Topological Spaces". Proceedings of the American Mathematical Society. 5 (1): 144–161. doi:10.1090/S0002-9939-1954-0063016-5. hdl:10338.dmlcz/101379.
References
- Deshpande, Jayant V. (1968). "On Continuity of a Partial Order". Proceedings of the American Mathematical Society. 19 (2): 383–386. doi:10.1090/S0002-9939-1968-0236071-7.
- Schmidt, Gunther (2010). Relational Mathematics. Encyclopedia of Mathematics and its Applications. 132. Cambridge University Press. ISBN 978-0-521-76268-7.
- Bernd Schröder (11 May 2016). Ordered Sets: An Introduction with Connections from Combinatorics to Topology. Birkhäuser. ISBN 978-3-319-29788-0.
- Stanley, Richard P. (1997). Enumerative Combinatorics 1. Cambridge Studies in Advanced Mathematics. 49. Cambridge University Press. ISBN 0-521-66351-2.
External links
| Wikimedia Commons has media related to Hasse diagram. |






